CM1 - Evaluation compétence NF4

Pour chaque question, clique sur la réponse qui convient.

Question

Question N°1

NF5-Q1

Le nombre qui correspond à la lettre M est … ?

Réponses

Je ne sais pas.

Question


Question N°2

NF5-Q2

Le nombre qui correspond à la lettre R est … ?

Réponses

Je ne sais pas.

Question


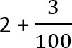
NF5-Q3

Question N°3

Observe la droite graduée ci-dessus.

2+3/100

Réponses

Lettre O

Lettre N

Lettre P

Je ne sais pas

Question


Question N°4

Observe la droite graduée ci-dessus.

Le nombre qui ne correspond pas à la lettre P est …?

Réponses

Je ne sais pas.

Activer le JavaScript

Réalisé avec Exelearning

Régi par la licence Creative Commons: Licence d'attribution en partage identique 4.0